Fourierova integralska transformacija#
Domača naloga#
Domača naloga
Oba signala, zajeta pri Nalogi 2, odprite v izbranem programskem okolju (npr. Python).
Prikažite in primerjajte njuna amplitudna ter fazna spektra.
Enaka signala generirajte tudi numerično (na primer z uporabo
scipy.signal). Primerjajte amplitudna in fazna spektra zajetih ter numerično pripravljenih signalov.
Pripravite kratko poročilo (obseg od 3 do 10 celic s kodo v okolju Jupyter Notebook), iz katerega naj bodo razvidni podatki naloge (iz tabele), ter da ste vse parametre in zahteve naloge naloge tudi upoštevali.
Poročilo oddajte v .pdf obliki (glejte navodila za oddajo domačih nalog).
Dodatek: Raziščite lastnost časovnega premika Fourierove transformacije, in:
ocenite časovni zamik med zajetima in generiranima signaloma.
Zajeta signala v frekvenčni domeni z uporabo lastnosti časovnega zamika poravnajte z generiranima.
Poravnana signala preslikajte nazaj v časovno domeno (
np.fft.irfft) in rezultat poravnave prikažite.
Note
Lastnost časovnega premika je opisana v predlogi predavanja 3. Časovni premik signala za vrednost \(t_0\) je v frekvenčni domeni opisan z:
Fourierova transformacija je matematično orodje, s katerim preslikamo signale iz časovne v frekvenčno domeno.
Note
Fourierova transformacija in njen inverz sta integralski preslikavi, ki ste ju definirali na predavanjih:
Note
Realni (pomerjeni) signali običajno niso podani v obliki funkcijskega predpisa \(x(t)\), temveč so podani v obliki časovne vrste vrednosti signala, pomerjene pri diskretnih časovnih točkah, \(x(n\,\Delta t)\).
V praksi bomo zato pogosto raje govorili o Diskretni Fourierovi transformaciji (DFT), definirani na predpostavki diskretno vzorčenega signala s konstantnim časovnim korakom, katere rezultat je diskretna frekvenčna predstavitev signala s konstantnim korakom v frekvenčni domeni, \(X(k\,\Delta f)\).
Na področju procesiranja signalov je izrednega pomena tudi numerično učinkovit algoritem Hitre Fourierove transformacije (FFT), ki omogoča časovno-frekvenčno preslikavo zajetih diskretnih signalov v realnem času.
O DFT in FFT boste več govorili na enem od naslednjih predavanj.
Fourierova transformacija v Pythonu#
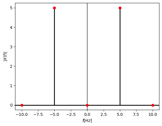
Poglejmo si uporabo algoritma (diskretne) Fourierove transformacije, implementiranega v Numpy in Scipy, na primeru sinusnega signala z amplitudo \(A\) ter sekundno frekvenco \(p\).
Na predavanjih ste povedali, da velja:
Fourierova transformacija \(x(t)\) pa je:
Pripravimo funkcijo za vizualizacijo Fourierove transformacije sinusnega signala:
import numpy as np
import matplotlib.pyplot as plt
def fourier_sin(A, p):
"""
Vizualizacija fourierove transformacije sinusnega signala z amplitudo
`A` in frekvenco `p` Hz.
Vrne amplitudo spektra pri frekvenci `p`.
"""
A_p = 1j*A/2
freq = np.array([-2*p, -p, 0, p, 2*p])
amp = np.array([0., A_p, 0, A_p, 0])
plt.axhline(y=0, c='k', lw=2)
plt.axvline(x=0, c='k', lw=1)
for i, x in (enumerate(freq)):
plt.plot([x, x], [0, np.abs(amp[i])], 'k', lw=2)
plt.plot(freq, np.abs(amp), 'ro', label='analitični amplitudni spekter')
plt.xlabel('$f [Hz]$')
plt.ylabel('$|X(f)|$')
p = 5
A = 10
fourier_sin(A, p)
Pripravimo sinusni signal in poglejmo rezultat DFT:
dt = 1/(p*50)
t = np.arange(0, 1, dt)
x = A*np.sin(2*np.pi*t*p)
Izračun FFT poljubnega signala:
X = np.fft.fft(x)
freq = np.fft.fftfreq(len(t), dt)
Izračun FFT realnega signala (\(x(t) \in \mathcal{R}\)):
X_r = np.fft.rfft(x)
freq_r = np.fft.rfftfreq(len(t), dt)
Show code cell source
fourier_sin(A, p)
plt.plot(freq, np.abs(X), '.-', label='Numpy FFT poljubnega signala')
plt.plot(freq_r, np.abs(X_r), '.-', label='Numpy FFT realnega signala')
plt.xlim(-2*p, 2*p)
plt.legend();
Opazimo, da se teoretične in dobljene amplitude ne ujemajo.
Naloga 1 (10 minut)
Raziščite implementacijo skaliranja (normalizacije) diskretne Fourierove transformacije v Numpy in zgornjo kodo nadgradite tako, da se bodo dobljene amplitude ujemale s teoretičnimi.
Dodatek: Raziščite možnosti povečanja frekvenčne ločljivosti (\(\downarrow \Delta f\)) pri uporabi diskretne fourierove transformacije. S katerim parametrom zajema signala je ta povezana? (Namig: argument n funkcije np.fft.rfft.)
DFT realnega signala#
Naloga 2 (30 min)
Z uporabo generatorja signalov in Arduino zajemnega sistema pripravite ter zajemite dva signala različnih oblik s parametri iz podatkov domače naloge 3, ki jih najdete v e-učilnici.
Pri zajemu podatkov lahko uporabite LabView program, ki ste ga pripravili na prejšnji vaji, ali pa program, ki ga najdete spodaj.
Ne pozabite programa pred zajemom prirediti tako, da bo:
deloval z vašim zajemnim sistemom (nastavitev COM vrat, mesto shranjevanja .lvm datoteke),
če program omogoča nastavitev občutljivosti, te nastavite na vrednost 1,
omogočal nastavitev časa trajanja segmenta (namesto števila vzorcev v segmentu),
zajel signal glede na parametre naloge.
Nalogo lahko rešujete v grupah, tako, da si ustrezno razdelite delo (nastavitev generatorja signala, zajem signalov).
Osnovna navodila za uporabo generatorja signalov RIGOL DG 1022 najdete v predlogi prejšnje laboratorijske vaje.

Za delovanje potrebujete tudi naslednji podprogram:

Oboje lahko prenesete lahko tudi v obliki zip arhiva.
Obdelava zajetega signala#
Naloga 3 (15 min)
Sinusni signal, zajet pri prejšnji nalogi, naložimo v Python program.
Določimo parametre (amplitudo \(A\), frekvenco \(p\), fazni zamik \(\varphi\)) zajetega signala (
scipy.optimize.curve_fit).Amplitudni spekter zajetega sinusnega signala primerjajmo s teoretičnim amplitudnim spektrom funkcije \(A \, \sin(2\, \pi \, p \, t)\).
Pri branju podatkov, shranjnih v .lvm datoteke, si lahko pomagate s paketom lvm_read.
Primer uporabe si poglejmo spodaj.
import lvm_read
file = 'data/03/sinus.lvm'
data = lvm_read.read(file)
data['Segments']
1
Segment podatkov je v slovarju shranjen s ključem zaporednega indeksa. Vsak posamezni segment je prav tako slovar, v katerem do surovih shranjenih podatkov dostopamo s ključem 'data':
kanali = data[0]['data']
kanali.shape
(500, 2)
Posamezni stolpci podatkov predstavljajo po en shranjen kanal:
signal = kanali[:, 0]
signal.shape
(500,)
Časovni vektor lahko pripravimo na podlagi znane frekvence vzorčenja:
fs = 100 # vzorcev / s
t = np.arange(len(signal)) / fs
Show code cell source
plt.figure()
plt.plot(t, signal, label='kanal 1')
plt.xlabel('t [s]')
plt.ylabel('napetost [V]')
plt.legend()
<matplotlib.legend.Legend at 0x20040335eb0>
Določitev parametrov zajetega signala s scipy.optimize.curve_fit:#
from scipy.optimize import curve_fit
Definiramo funkcijo modela našega signala, katere prvi parameter je neodvisna spremenljivka \(t\), ostali argumenti pa so iskani parametri:
def model(t, A, p, phi, V_0):
"""
Model funkcije `A*sin(2*pi*p*t + phi) + V_0` za aproksimacijo.
"""
return A*np.sin(2*np.pi*p*t + phi) + V_0
Določimo smiselne začetne približke:
A_0 = (np.max(signal) - np.min(signal)) / 2
Show code cell source
plt.plot(t, signal, 'k')
plt.fill_between(t, np.mean(signal) - A_0, np.mean(signal) + A_0, color='C0', alpha=0.25)
plt.xlabel('t [s]')
plt.ylabel('signal [V]');
from scipy.signal import find_peaks
i_vrhov = find_peaks(signal)[0]
t_vrhov = t[i_vrhov]
p_0 = 1 / (t_vrhov[1] - t_vrhov[0])
Show code cell source
plt.plot(t, signal, 'k')
plt.fill_between(np.linspace(t[i_vrhov[0]], t[i_vrhov[0]] + 1/p_0), np.min(signal), np.max(signal), color='C0', alpha=0.25)
plt.xlabel('t [s]')
plt.ylabel('signal [V]');
V_0 = np.mean(signal)
Show code cell source
plt.plot(t, signal, 'k')
plt.axhline(V_0, c='r')
plt.xlabel('t [s]')
plt.ylabel('signal [V]');
normal_signal = (signal - V_0) / A_0
phi_0 = np.arcsin(normal_signal[0])
Show code cell source
plt.plot(t, normal_signal, 'k')
plt.plot(t[0], normal_signal[0], 'ro')
print(np.rad2deg(phi_0))
plt.xlabel('t [s]')
plt.ylabel('normaliziran signal [V]');
45.003549449490734
popt, pcov = curve_fit(model, t, signal, p0=[A_0, p_0, phi_0, V_0])
A, p, phi, V_0 = popt
Show code cell source
plt.plot(t, model(t, A, p, phi, V_0), lw=2, label='aproksimiran signal')
plt.plot(t, signal, 'k.', label='zajet signal')
plt.legend()
plt.xlabel('t [s]')
plt.ylabel('signal [V]');
(Diskretna) Fourierova transformacija zajetega signala#
S = np.fft.fft(signal) / len(t)
freq = np.fft.fftfreq(len(t), 1/fs)
Show code cell source
fourier_sin(A, p)
plt.plot(freq, np.abs(S), '.-', label='zajeti signal')
plt.xlim(-2*p, 2*p);
plt.legend(loc=(1.01, 0));
Odprava statične (DC) komponte:
S_1 = np.fft.fft(signal - V_0) / len(t)
freq = np.fft.fftfreq(len(t), 1/fs)
Show code cell source
fourier_sin(A, p)
plt.plot(freq, np.abs(S_1), '.-', label='zajeti signal brez statične komponente')
plt.xlim(-2*p, 2*p);
plt.legend(loc=(1.01, 0));
Pogosto pri realnih signalih izračunamo amplitudni spekter le pri pozitivnih frekvencah.
Da se energija signala ohrani, dobljen enostranski spekter ustrezno skaliramo:
S_r = np.fft.rfft(signal - V_0) / len(t)
S_r[1:] *= 2
freq = np.fft.rfftfreq(len(t), 1/fs)
Show code cell source
fourier_sin(A, p)
plt.plot(freq, np.abs(S_r), '.-', label='enostranski spekter realnega signala')
plt.axhline(A, c='g', label='amplituda zajetega signala')
plt.xlim(-2*p, 2*p)
plt.legend(loc=(1.01, 0));
np.isclose(np.sum(np.abs(S_1)), np.sum(np.abs(S_r)), rtol=1e-4)
True
Amplitudni in fazni spekter realnega signala#
Poglejmo primer amplitudnega in faznega spektra realnega signala z dvema harmonskima komponentama.
Parametri signala:
A1 = 1
A2 = 2
f1 = 1
f2 = 2
phi1 = np.pi/2
phi2 = np.pi/4
Parametri vzorčenja:
fs = 50
dt = 1/fs
T = 5
t = np.arange(0, T*fs) * dt
Obravnavan signal:
s1 = A1*np.cos(2*np.pi*f1*t + phi1)
s2 = A2*np.cos(2*np.pi*f2*t + phi2)
signal = s1 + s2
Show code cell source
plt.figure()
plt.plot(t, signal, label='signal = s1 + s2')
plt.plot(t, s1, label='s1')
plt.plot(t, s2, label='s2')
plt.xlabel('t [s]')
plt.ylabel('signal [/]')
plt.legend(loc=(1.01, 0));
Fourierova transformacija signala, normiranje enostranskega spektra:
S = np.fft.rfft(signal, norm='forward')
S[1:] *= 2
freq = np.fft.rfftfreq(len(t), dt)
Osnovne frekvence komponent \(s_1\) in \(s_2\) obravnavanega signala:
i1 = np.argmin(np.abs(freq-1))
i2 = np.argmin(np.abs(freq-2))
freq[i1], freq[i2]
(1.0, 2.0)
Show code cell source
fig, ax = plt.subplots(2, 1)
ax[0].plot(freq, np.abs(S), 'C0', label='amplitudni spekter')
ax[0].set_xlim(0, 5)
ax[0].set_xlabel('f [Hz]')
ax[0].set_ylabel('$|S|$ [/]')
ax[0].axvline(f1, c='k', lw=0.5)
ax[0].axvline(f2, c='k', lw=0.5)
ax[0].axhline(A1, c='k', lw=0.5)
ax[0].axhline(A2, c='k', lw=0.5)
ax[0].legend(loc=(1.01, 0))
ax[1].plot(freq, np.angle(S), 'C1', label='fazni spekter')
ax[1].set_xlim(0, 5)
ax[1].set_xlabel('f [Hz]')
ax[1].set_ylabel('$\\angle S$ [rad]')
ax[1].axvline(f1, c='k', lw=0.5)
ax[1].axvline(f2, c='k', lw=0.5)
ax[1].axhline(phi1, c='k', lw=0.5)
ax[1].axhline(phi2, c='k', lw=0.5)
ax[1].legend(loc=(1.01, 0));
Primerjava izbranih faznih zamikov signala in vrednosti faznega spektra:
print(phi1, phi2)
print(np.angle(S[i1]), np.angle(S[i2]))
1.5707963267948966 0.7853981633974483
1.5707963267948966 0.7853981633974466